駿台中学生テスト
難問にチャレンジ!

中学3年生の問題

2025年度 中3プレ(4月)数学 正答率 23%

2025年度 中3プレ(4月)数学 問題
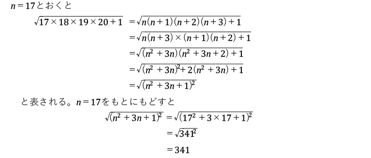
2025年度 中3プレ(4月)数学 解答

2025年度 中3 第1回(6月)数学 正答率 10%未満

2025年度 中3 第1回(6月)数学 問題
2025年度 中3 第1回(6月)数学 解答

2025年度 中3 第2回(8月)数学 正答率 (1) 64%(2) 36%(3) 15%

2025年度 中3 第2回(8月)数学 問題
2025年度 中3 第2回(8月)数学 解答

2025年度 中3 第3回(9月)数学 正答率 10%未満

2025年度 中3 第3回(9月)数学 問題
2025年度 中3 第3回(9月)数学 解答

2025年度 中3 第4回(10月)数学 正答率 17%

2025年度 中3 第4回(10月)数学 問題
2025年度 中3 第4回(10月)数学 解答

2025年度 中3 第5回(11月)数学 正答率 (1) 70%以上(2)(i) 54%(2)(ii) 17%

2025年度 中3 第5回(11月)数学 問題
2025年度 中3 第5回(11月)数学 解答

2022年度 中3 第3回 (9月) 数学 正答率 57%

2022年度 中3 第3回 (9月) 数学 問題
2022年度 中3 第3回 (9月) 数学 解答

テストを申し込む